Abstract

Introduction: ELANE neutropenia represents the cause of 25-30% of the cases of congenital neutropenia. Classically, its appears in the literature as in OMIM, under two distinct entities: Severe congenital neutropenia (SCN) and cyclic neutropenia (CyN). The delineation between the 2 entities is the "cyclicity" i.e. the periodic variation of the absolute neutrophils count (ANC), also called a 21-day time clock 1. However, it is extremely difficult to obtain enough sequential complete blood counts (CBC) at the onset of the disease, during an enough length period, while the patient is not experiencing a severe infection or receiving GCSF therapy. The purpose of our study is to analyze the ANC periodicity at the onset of the disease, prior to the initiation of GCSF in a cohort of patients with ELANE neutropenia.
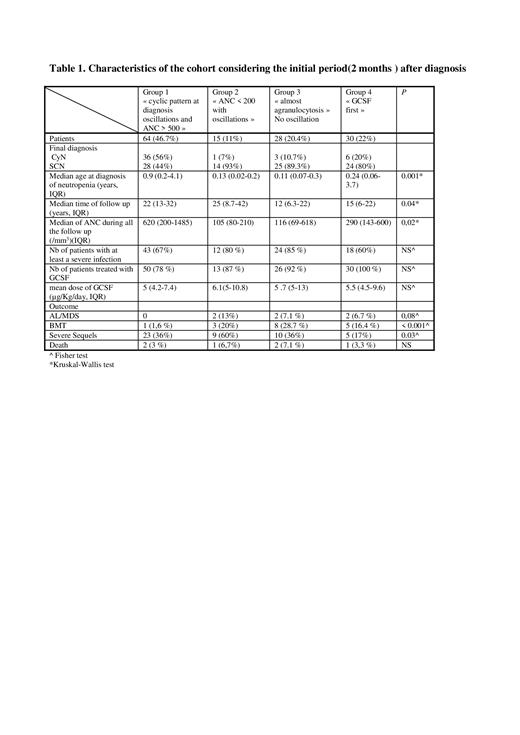
Methods : Available data from the patients, with ELANE class 4 and 5 variants, enrolled in the French Severe Chronic Neutropenia Registry, were analysed. The final diagnostic of CyN and SCN was performed considering all the follow up period (median 16.7 years) and based on the presence of recurrent periodic variation of ANC in the absence of GCSF therapy. CyN was defined as multiple documented ANCs >500 cells/mm 3 , with intermittent ANC variation (n=49), while SCN is defined as ANC persistently <500 cells/mm 3 (n=94). In case of irregularity (i.e. not a regular periodic pattern during all the follow up), the classification takes in consideration the majority of the follow up. A comprehensive analysis of the infectious profile is available elsewhere 2. We were focused here on the diagnostic period (roughly the 2 first months since the diagnosis). We have analysed the initial blood count of the patients and cast the patients by categories if at least 4 ANCs can be evaluated. ANC oscillations defined 4 groups: Group 1: oscillation of ANC values above and below 500 ANC/mm 3 for at least 2 cycles lead to consider the patient as Cyclic; Group 2: clear oscillation of ANC values above and below 200 ANC/mm 3 (but ever<500 ANC/mm 3) for at least 2 cycles; Group 3: no oscillation of ANC values whose level are ever below 500 ANC/mm 3; Group 4: Early GCSF treatment.
Results: Among the 143 patients enrolled in this study (Table 1), 137 have at least 4 CBC evaluable during the diagnosis period, including 30 who have been treated almost front line after diagnosis of neutropenia by GCSF hampering evaluation of periodicity. Such patients were all initially considered as SCN. Among the 67 finally classified as SCN, 28 (27.38%) showed an oscillation pattern (group 1), 14 (15.48%) showed minor oscillations (group 2), while 25 (30.95%) had a persistent and severe neutropenia (group 3). Among the 40 CyN, 1 have showed minor oscillations (group 2) below 500/mm 3, while 3 had a persistent and severe neutropenia (group 3). Globally, 32 /107 patients were miss- classified at diagnosis compare to the final diagnosis. Additional data shows that many health indicators could not be deducted from the initial classification like the infections rate, the use of GCSF, the death rate, the sequels rate.
Conclusions:
Periodic variation of ANC despite being the criteria to define the sub type of ELANE neutropenia is difficult to evaluate at the initial presentation of the disease. In addition, cyclicity is not a permanent feature in ELANE neutropenia, some patients being cyclic only for a certain time in their life span. It results a high rate of miss classification if we compare the initial diagnostic period and all the medical history of the patients. Noteworthy, the rate of several severe complications is not so clearly different between diagnosis sub categories. We propose to consider ELANE neutropenia as a unique disease characterized by a clinical spectrum ranging from more severe forms (corresponding to SCN) to milder forms, the latter often characterized at onset by ANC fluctuations. In addition, some intermediate severity forms could be characterized by minor oscillations.
References
1 Horwitz M, Benson KF, Person RE, Aprikyan AG, Dale DC. Mutations in ELA2, encoding neutrophil elastase, define a 21-day biological clock in cyclic haematopoiesis. Nat.Genet. 1999;23:433-436. 2 Rotulo GA, Plat G, Beaupain B et al. Recurrent bacterial infections, but not fungal infections, characterise patients with ELANE-related neutropenia: a French Severe Chronic Neutropenia Registry study. Br J Haematol. 2021 doi: 10.1111/bjh.17695
No relevant conflicts of interest to declare.
Author notes
This icon denotes a clinically relevant abstract

This feature is available to Subscribers Only
Sign In or Create an Account Close Modal